Skip to main content
FAQs
Complain
Problems
X
9864811311/9864811102
ito.dhakarimun@gmail.com
ढकारी गाउँपालिका
गाउँकार्यपालिकाको कार्यालय
"स्वास्थ्य,शिक्षा, कृषि र पुर्वाधार, ढकारीका बलिया आधार"
गृहपृष्ठ
परिचय
संगठनात्मक स्वरुप
जन प्रतिनिधि
कर्मचारी विवरण
पूर्व कर्मचारी
श्रोत नक्सा
पुर्व जन प्रतिनिधि
जनसंख्याको आकार र वितरण
वडा कार्यालयहरु
कार्यक्रम तथा परियोजना
बजेट तथा कार्यक्रम
योजना तथा परियोजना
आय व्यय विवरण
विधुतीय शुसासन सेवा
घटना दर्ता
सामाजिक सुरक्षा
नागरिक वडापत्र
ई हाजिरी प्रणाली
कर संकलन प्रणाली
नमुना फारमहरु
बहिर्गमन अभिमत
Own-Cloud
प्रतिवेदन
चौमासिक प्रगति प्रतिवेदन
वार्षिक प्रगति प्रतिवेदन
लेखा परीक्षण प्रतिवेदन
अनुगमन प्रतिवेदन
सार्वजनिक सुनुवाई
सार्वजनिक परीक्षण
सामाजिक परिक्षण
प्रकाशन
सूचना तथा जानकारी
सूचना तथा समाचार
सार्वजनिक खरिद/बोलपत्र सूचना
ऐन कानुन निर्देशिका
कर तथा शुल्कहरु
निर्णयहरु
गाउँ परिषदका निर्णयहरु
गाउँपालिका बोर्डको निर्णयहरु
गाउँपालिकाका निर्णयहरु
माग गरेको सूचनाको अवस्था
राजपत्र अभिलेख
ग्यालरी
सम्पर्क
शाखा तथा कर्मचारी
जन प्रतिनिधि
विद्यालयहरु
स्वास्थ्यकर्मी सम्पर्क
शाखा
शिक्षा युवा तथा खेलकुद
स्वास्थ्य तथा सरसफाइ
महिला बालबालिका तथा जेष्ठ नागरिक
योजना तथा अनुगमन
पञ्जिकरण तथा समाजिक सुरक्षा
कृषि विकास शाखा
पशु सेवा शाखा
प्रधानमन्त्री रोजगार कार्यक्रम
सूचनाको हक
सूचना मागको अवस्था
स्वतः प्रकाशन
प्रमुख सुचना::
रिक्त पदमा स्थायी शिक्षक सरुवा सम्बन्धी सूचना
१६ औं गाउँसभाको हिउँदे अधिवेशनको पहिलो बैठकको कार्यसूची सम्बन्धमा
अछाम जिल्ला अन्तरपालिका स्तरीय खुला महिला भलिबल प्रतियोगिता २०८२ सम्बन्धी सूचना ।
रिक्त पदमा स्थायी शिक्षक सरुवा सम्बन्धी सूचना
बोलपत्र आह्नान सम्बन्धी सूचना (प्रथम पटक प्रकाशित मिति : २०८२/०७/२७)
अपाङ्गता परिचयपत्र नभएका सेवाग्राहीहरुलाई परिचयपत्र वितरण सम्बन्धी शिविर सञ्चालन हु्ने सम्बन्धि सूचना ।।
५० प्रतिशत अनुदानमा वितरण गरिने आलुको बिउको दरभाउपत्र(कोटेशन) माग गरिएको सूचना
औषधिको दररेट पेश गर्ने सम्बन्धी सूचना मिति:२०८२।०६।०२
विज्ञापन नं ०१।२०८२-०८३ मनाेसामfजिक परामर्श कर्ता (करार पाँचौं) पदको अन्तिम नतिजा प्रकाशन सम्बन्धी सूचना
दररेट पेश गर्ने सम्बन्धी सूचना ।
You are here
Home
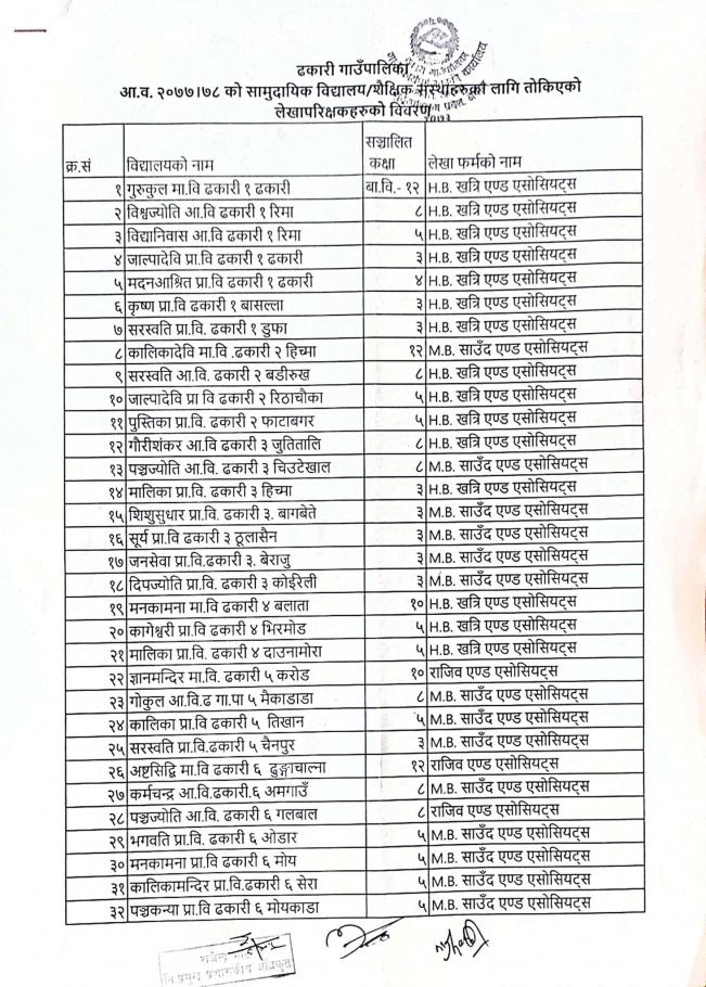
» आ. व २०७७/७८ को लेखापरिक्षण गराउने सम्बन्धी
आ. व २०७७/७८ को लेखापरिक्षण गराउने सम्बन्धी
Submitted on:
Mon, 02/21/2022 - 13:35
प्रकार:
सूचना तथा समाचार
आर्थिक वर्ष:
७८/७९
शाखा:
शिक्षा युवा तथा खेलकुद
//